泉海周三集市第十五期已圆满结束啦!在这次活动里,我们见证了36位摊主的激情与才华。每个摊位都散发着独特的魅力,吸引了众多同学们的驻足围观。

有潮流服饰、手工艺品、面包零食、数码配件、微型照相馆、红缘一线牵等等,真是种类多样,创意无限!
相信大家都想要来施展一下创意才华,体验创业之路!让我们携手前行,共同关注参与第16期周三集市吧!
一、创业期数
第16期
二、活动时间
报名时间:2024年3月19日-21日
开市时间:2024年3月27日
三、举办单位
主办:三创学院
承办:海洋工程学院
四、报名对象
泉州海洋职业学院全体学生
五、主营业务
以文创类商品为主
六、参与流程

七、报名方式
微信扫描报名二维码,填写报名信息,保存提交。加入摊主群交流,查看网申结果

八、参与你可以获得什么
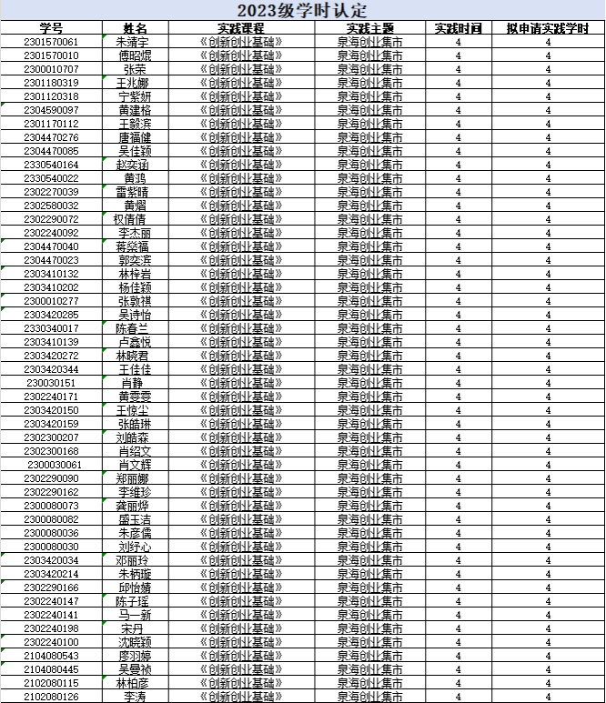
1.创新创业学时、就业指导学时(1小时0.5实践学时);
2.第二课堂积分(科学技术与创新创业模块1积分);
3.可评最美摊位、最受欢迎摊主等荣誉称号;
4.0成本进货三创学院提供货源(指定品类);
5.优秀摊主可入住三创学院基地;
注意:现场有任何问题都可联系现场工作人员。
九、福利放送
福利放送:
周三集市亮点——集赞打卡!集齐4-9个摊位打卡照片
朋友圈标题:
发微信朋友圈,带话题#泉海周三集市开市啦
朋友圈格式:
发送6-9宫格图片(或发布抖音短视频)
领取奖励:
集齐20个赞后大家可凭朋友圈或抖音或微博截图于集市工作摊位参与周三集市代金券或精美礼品抽奖。
十、往期评选公告
最美摊位获得者:廖羽婷
最受欢迎摊主获得者:朱靖宇、傅昭焜
拟加实践学时名单:

